Up 素粒子標準模型のラグランジアン 作成: 2019-04-26
更新: 2023-04-27


    素粒子物理学は,数学的想像の産物である。
    想像の産物でも,数学が想像の手法であれば,学」として認められることもある。
    ノーベル賞受賞者を輩出する分野にもなることもある。
    素粒子物理学は,この場合である。


    素粒子物理学は,「素粒子の物理」の現時点の捉えを,「標準模型」として示す。
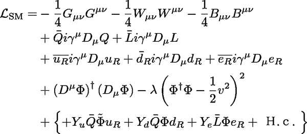
    そしてつぎが,これの数学表現である:



    この数式は,「素粒子の物理法則」を Lagrangiant で書いたものである。
    「素粒子の物理法則」は,研究者たちが自分たちのサークルの中で「整合的」と認めた方程式のセットであり,これは部外者の窺い知るところではない。
    しかし部外者も,せめて Lagrangiant の意味は押さえておきたいところである。


    「ラグランジアンで書いた」の意味は,\( L( q_1, \cdots, q_f; \dot{q}_1, \cdots, \dot{q}_f ) = {\mathcal{L}}_{SM} \) のつぎの方程式が「素粒子の物理法則」になるということである:
      \[ \frac{ d }{ dt }\ \bigl( \frac{ \partial L }{ \partial \dot{q}_i }\ \bigr) - \frac{ \partial L }{ \partial q_i }\ = 0 \quad \quad ( i = 1, 2, \cdots, f ) \]
    \( L( q_1, \cdots, q_f; \dot{q}_1, \cdots, \dot{q}_f ) \) に対するこの形の方程式を,「オイラー=ラグランジュの方程式」と呼ぶ。