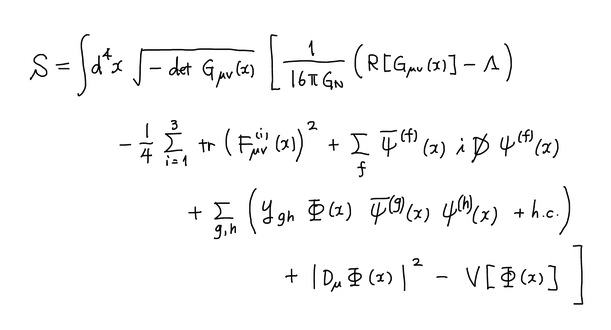
橋本幸士 (2018) :「宇宙のすべてを支配する数式」
秋本 祐希「4つの力と統一理論」
- 引用/参考文献
- Hossenfelder, Sabine (2018):
Lost in Math : How Beauty Leads Physics Astray. Basic Books, 2018.
- 吉田 三知世 [訳]『数学に魅せられて、科学を見失う──物理学と「美しさ」の罠』, みすず書房, 2021.
- 橋本幸士 (2018) :『「宇宙のすべてを支配する数式」をパパに習ってみた──天才物理学者・浪速阪教授の70分講義』 (KS科学一般書), 講談社, 2018.
- 『超ひも理論と宇宙のすべてを支配する数式』( ニュートンムック/ Newton 別冊), ニュートンプレス, 2019.3
- 大栗 博司 (2013) :『超弦理論入門』(ブルーバックス), 講談社, 2013.
- 参考Webサイト
|