Up 正規分布 作成: 2014-06-06
更新: 2014-06-07





  • 正規分布の導出
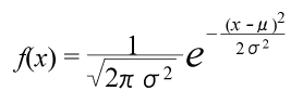
    • 正規分布は,平均μ,分散σ2
    • 正規分布は,−∞ から +∞ までの積分が1

  • σ2 のグラフ的意味:
      平均μから右へσのところが,右曲がりから左曲がりに変わる変曲点

  • 正規分布の例
    • 測定誤差
    • 身長の分布
    • 標本平均

  • 標準正規分布
      μ=0,σ2 =1

  • 標準化:
      (x− μ)/σ → x