Up 平均の計算 作成: 2014-06-12
更新: 2014-06-12


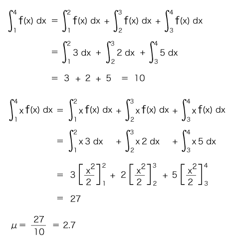
    つぎのヒストグラムに示される度数分布に対し,これの平均μを計算する。
    (註:この文脈になる「平均」の意味は,「加重平均」である。)


      μは,「平均」の定義から:


      これを計算すると:


      グラフにμを記すと:



    つぎの分布は,上のものとずいぶん異なるが,平均は近い値になる:


      念のため,計算を示しておく: