Up 「ペアノの公理」の読み方 更新: 2010-10-31


    ペアノの公理
    自然数の系は,先ず,集合と,の一つの要素1と,関数f:─→の組
    ,1,f)

    であり,そしてこれについて,以下のことが成立している:

      1° f(x)=1となるの要素xは存在しない;
      の要素x,yについてf(x)=f(y)ならばx=y;
      の部分集合' は,つぎの条件を満たすとき,実はと一致している:
        1が' の要素になっている;
        xが' の要素のとき,f(x)も' の要素.


    ペアノの公理は,何を言っているのでしょう?
    それは, は「系列」である,すなわちつぎの形をしたものである,と言っています:

    先ず,集合「」は,○で示される項の全体です。
    「1」は,これの先頭の項です。
    (条件 1° は,「1」を先頭として定義するものです。──「先頭」を「何の後でもない」ことと条件づけています。)
    「f」は,各項にその直後の項 (「後者(successor)」) を対応させる関数です。
    (ここでは,記号 → で対応を表現。)

    ちなみに,1, f(1), f(f(1)), ‥‥ の表記の一つが,「1, 2, 3, ‥‥」です。


    以下,ペアノの公理が「系列」の形の過不足無い定義になっていることを,見ていくことにします。


    1. 先ず,条件3゜により,1, f(1), f(f(1)), ‥‥ 全体が になります。
     特に, は,fによって全体が一つに連結しています。

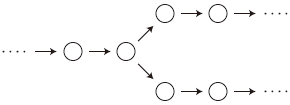
    2. つぎの枝分かれの形は,ありません:

    この形の排除は,「関数f」に含意されています。 ──関数とは一意対応のこと (「一つの要素に一つの要素が,しかもただ一つの要素が,対応する」)。

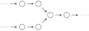
    3. つぎの枝分かれの形は,ありません:

    条件2゜が,この形を排除するものになっています。

    4. 部分ループは,上の2タイプの枝分かれのいずれかを含むので,ありません。

    5. つぎの全体ループの形も,ありません:

    実際,条件1゜より,この中に1は存在できません。

    6. つぎの終端の形は,ありません:

    仮にこの形があるとして,終端をxとし,f(x) がどうなるか考えます。
    条件1゜より,f(x) は1ではありません。
    そして,条件2゜より,f(x) は1以外の項でもありません。
    結局,f(x) は存在できません。

    7. つぎの無限溯行の形は,ありません:

    実際,条件1゜より,この中に1は存在できません。

    8. こうして,つぎの形が残ります:

    そしてこれは,(,1,f)の条件を満たすものになっています。




    註: 条件3°は,“数学的帰納法の公理”と呼ばれます。
    実際,命題関数P(x)に対する命題
        「すべての自然数xに対しP(x)は真」
    は,' ={x│xかつP(x)}とおいたときの命題
           「' =
    と同じです。そしてこれを条件3°を適用して証明するとき,条件3°を「数学的帰納法の公理」として用いたということになります。