Up 中心極限定理 作成: 2014-06-06
更新: 2014-06-10


    「母集団が,平均μ,標準偏差σであるとする。
    nを十分大きい数とする。
    母集団からn個の標本を抽出し,そして平均を出す。
    これを何回も行う。
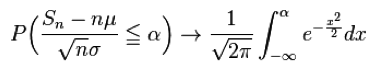
    平均の分布は,母集団の分布とは関係なく,<平均μ,標準偏差 σ/√n の正規分布>に近づく。

    →「nが大きいとき,標本抽出を1回やって,これの平均を母集団の平均だということにしてよい。」



    「中心極限定理」@Wikipedia から引用:
      大数の法則によると、ある母集団から無作為抽出された標本平均はサンプルのサイズを大きくすると真の平均に近づく。これに対し中心極限定理は標本平均と真の平均との誤差を論ずるものである。多くの場合、母集団の分布がどんな分布であっても、その誤差はサンプルのサイズを大きくしたとき近似的に正規分布に従う。
      なお、標本の分布に分散が存在しないときには、極限が正規分布と異なる場合もある。
      統計学における基本定理であり、例えば世論調査における必要サンプルのサイズの算出等に用いられる。

      定理
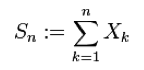
      期待値 μ, 分散 σ2独立同分布 ("i.i.d.") 確率変数 ("r.v.") 列 X1, X2, ... に対し、
      とすると、
      つまり、i.i.d. r.v. 列の和を修正すると、期待値 0, 分散 1 の正規分布 N(0, 1) に分布収束する。
      従って、n が十分大きいとき近似的に、標本平均 [Xn] と真の平均 μ との誤差 [Xn] ーμ をルートn倍したものは,平均 0, 分散 σ2/n の正規分布 N(0, σ2/n) に従う。