Up
楕円の作図
作成: 2013-07-11
更新: 2013-07-11
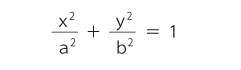
楕円
は,つぎの図の点 (x, y) の軌跡として,作図ができる:
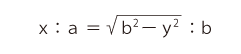
実際,つぎの2つの三角形の相似を見る:
このとき,
よって,
特に,a=bのとき,半径aの円が作図される
(註)
:
もっとも,半径aの円の作図法とされるのは,「Oからの距離がaの点の軌跡」である。
しかし,円を「楕円の特殊」と捉えようとするとき,「楕円の作図」は直接的で有効な主題である。
註 :
「点(x, y) とOの距離はa」は,ユークリッド幾何ではつぎの命題になる:
「直角三角形の3頂点は,直角の対辺の中点から等距離」