| Up | 2.1.2 “ペアノの公理”の読み方 | - |

である。そして先頭の項が1である。


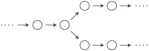
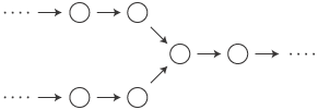
が互いに独立した複数の系列で成るという状態である。しかしこの状態は,条件3°(註1)によって禁止されている。実際,

′をとると,
′は3°の中の
′の条件を満たしているから
′=
でなければならない。
は一本の系列でなければならないことになる。


─→
を
| fn = |
| fのn回の合成 (n>0) |
| 恒等関数 (n=0) |
である(註3)。
| (註1) | 条件3°は,“数学的帰納法の公理”と呼ばれる。
実際,命題関数P(x)に対する命題 ′={x│x かつP(x)}とおいたときの命題
′= ” |
| (註2) | ここでの“整数n≧0”は,目下自然数を論じているところの言語(“メタ言語")に属する。したがって,後で,自然数の拡張としての整数が登場するが,循環論法ではない。 |
| (註3) | 条件3°の直接の適用。 |